Многие школьники думают, что информатика — это только программирование. Но на ОГЭ встречаются задания, которые требуют знания формул и умения их применять. Чтобы уверенно решать тесты и задачи и получить высокие баллы на экзамене, важно заранее выучить и потренироваться на примерах.
Формулы для заданий ОГЭ по информатике
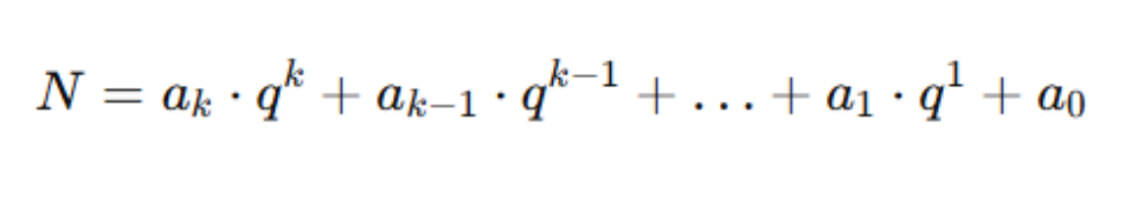
1.Задание 1 (системы счисления)
Перевод чисел из одной системы счисления в другую:
Перевод чисел из одной системы счисления в другую:
где q — основание системы счисления.
2. Задание 3 (информация и её количество)
Формула количества информации:
2. Задание 3 (информация и её количество)
Формула количества информации:
где K — количество символов, i — информационный вес одного символа.
Вес символа:
Вес символа:
где N — мощность алфавита.
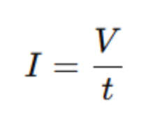
3. Задание 7 (скорость передачи информации)
3. Задание 7 (скорость передачи информации)
где V — объём информации, t — время передачи.
4. Задание 8 (коды и алфавиты)
Количество различных кодов:
4. Задание 8 (коды и алфавиты)
Количество различных кодов:
где q — количество символов в алфавите, n — длина кода.
5. Задание 14 (таблицы истинности, логика)
Эти формулы помогают решать задачи на построение таблиц истинности и упрощение выражений.
5. Задание 14 (таблицы истинности, логика)
- Логические операции:
- НЕ A → ¬A
- A И B → A ∧ B
- A ИЛИ B → A ∨ B
- Импликация: A → B = ¬A ∨ B
- Эквиваленция: A ↔ B = (A → B) ∧ (B → A)
Эти формулы помогают решать задачи на построение таблиц истинности и упрощение выражений.
Как готовиться к ОГЭ по информатике?
- Выучить основные формулы.
- Регулярно решать тренировочные варианты.
- Отработать задачи по каждой теме.
Подготовка с репетитором на образовательной платформе
В онлайн школе easyknow:
- собраны все формулы для заданий ОГЭ по информатике;
- объясняем их применение на примерах;
- даём готовые алгоритмы решения задач;
- занятия проходят онлайн с опытным репетитором;
- образовательная платформа помогает закрепить материал и системно готовиться к экзамену.
Итог
Знание формул для заданий ОГЭ по информатике — залог успешной подготовки и уверенности на экзамене. При работе с репетитором и регулярной практике на образовательной платформе легко освоить даже самые сложные темы и получить высокие баллы.
Обучение в Easyknow
🎓 Репетиторство easyknow
Хочешь разобраться в теме быстро и без скучных объяснений?
Занимайся с преподавателем easyknow — индивидуально, просто и по твоему темпу.
Записаться на пробный урок
💬 Кураторство easyknow
Нужна поддержка в учебе, но не хочешь сразу на урок?
Подключи куратора easyknow — он поможет с задачами и объяснит непонятное прямо в мессенджере.
Получить помощь куратора
Хочешь разобраться в теме быстро и без скучных объяснений?
Занимайся с преподавателем easyknow — индивидуально, просто и по твоему темпу.
Записаться на пробный урок
💬 Кураторство easyknow
Нужна поддержка в учебе, но не хочешь сразу на урок?
Подключи куратора easyknow — он поможет с задачами и объяснит непонятное прямо в мессенджере.
Получить помощь куратора