Кинематика — один из ключевых разделов школьной физики и обязательная тема на экзамене в 9 классе. На ОГЭ по физике часто встречаются задания, связанные с движением тел, графиками зависимости, скоростью и ускорением. Знание базовой теории и умение решать задачи по кинематике помогает уверенно чувствовать себя на экзамене и получать высокие баллы.
Теоретические основы кинематики
Перемещение и путь
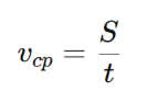
Средняя скорость
- Перемещение — вектор из начальной точки в конечную.
- Путь — длина траектории.
Средняя скорость
где S — путь, t — время.
Равномерное движение
Равномерное движение
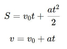
Равноускоренное движение
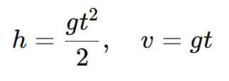
Свободное падение
Графики движения
- График S(t)S(t)S(t) — показывает, как изменяется путь.
- График v(t)v(t)v(t) — помогает находить ускорение и пройденный путь.
Вся кинематика для ОГЭ по физике 2025
На экзамене проверяются:
- движение с постоянной скоростью;
- движение с ускорением (равноускоренное и равнозамедленное);
- задачи на среднюю скорость;
- задачи на свободное падение;
- анализ графиков движения.
Задачи по кинематике на ОГЭ
Пример:
Автомобиль движется равномерно со скоростью 72 км/ч. Какой путь он пройдёт за 20 минут?
Решение:
Автомобиль движется равномерно со скоростью 72 км/ч. Какой путь он пройдёт за 20 минут?
Решение:
- Переводим скорость: 72 км/ч=20 м/с
- Время: 20 мин=1200 с
- Используем формулу: S=vt=20⋅1200=24000 м=24 км
Как готовиться к разделу «Кинематика»?
- Повторять теорию и формулы.
- Решать тренировочные задания разных типов.
- Учиться работать с графиками.
- Составить личную шпаргалку по формулам.
Подготовка с репетитором на образовательной платформе
В онлайн школе Easyknow:
- даём всю теорию по кинематике для ОГЭ физика 9 класс;
- объясняем простым языком и показываем, как решать задачи;
- занятия с репетитором проходят онлайн, удобно и эффективно;
- образовательная платформа помогает системно готовиться и получать высокие баллы.
Итог
Кинематика — важный раздел ОГЭ по физике, без которого нельзя успешно сдать экзамен. Зная базовые формулы и отработав задачи, можно уверенно подготовиться. С помощью образовательной платформы и занятий с репетитором подготовка становится понятной, быстрой и результативной.
Обучение в Easyknow
🎓 Репетиторство easyknow
Хочешь разобраться в теме быстро и без скучных объяснений?
Занимайся с преподавателем easyknow — индивидуально, просто и по твоему темпу.
Записаться на пробный урок
💬 Кураторство easyknow
Нужна поддержка в учебе, но не хочешь сразу на урок?
Подключи куратора easyknow — он поможет с задачами и объяснит непонятное прямо в мессенджере.
Получить помощь куратора
Хочешь разобраться в теме быстро и без скучных объяснений?
Занимайся с преподавателем easyknow — индивидуально, просто и по твоему темпу.
Записаться на пробный урок
💬 Кураторство easyknow
Нужна поддержка в учебе, но не хочешь сразу на урок?
Подключи куратора easyknow — он поможет с задачами и объяснит непонятное прямо в мессенджере.
Получить помощь куратора