Подготовка к экзамену по математике в 9 классе требует не только теории, но и практики. Чтобы уверенно справиться с заданиями и получить высокие баллы, важно пользоваться актуальными материалами, которые собраны в одном месте.
Теоретический материал для ОГЭ по математике
Арифметика и числа
Алгебра
- Делимость чисел, признаки делимости.
- Проценты, пропорции, доли.
- Степени и корни.
- Десятичные и обыкновенные дроби.
Алгебра
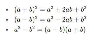
- Формулы сокращённого умножения:
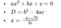
- Квадратные уравнения:
- Линейные уравнения и системы.
- Пропорции и прогрессии.
Геометрия
- Площадь прямоугольника:
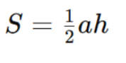
- Площадь треугольника:
- Площадь круга:
- Длина окружности:
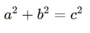
- Теорема Пифагора:
- Синусы, косинусы и тангенсы углов прямоугольного треугольника.
Статистика и вероятность
- Среднее арифметическое.
- Вероятность:
(m — число благоприятных исходов, n — общее число исходов).
Справочный материал для ОГЭ по математике
- Таблица квадратов чисел от 1 до 20.
- Основные тригонометрические значения:
- Приближённое значение числа
- Молярный объём (для задач с химией в реальной практике не нужен, но в физико-математических заданиях встречаются аналоги).
Справочные материалы для ОГЭ по математике 2026
На экзамене разрешено пользоваться справочными материалами, которые выдаются вместе с КИМами. В них содержатся:
- формулы площади и объёма фигур;
- теоремы и определения;
- таблица квадратов чисел;
- значения тригонометрических функций для стандартных углов.
Как работать с материалами?
- Начать с повторения теории.
- Использовать справочные материалы для быстрого закрепления.
- Решать тренировочные задания по каждой теме.
- Повторять формулы регулярно, а не только перед экзаменом.
Подготовка с репетитором на образовательной платформе
В онлайн школе easyknow:
- все материалы для подготовки к ОГЭ по математике собраны в одном месте;
- репетитор помогает разобраться в сложных темах;
- образовательная платформа даёт доступ к тренировочным заданиям и разбору ошибок;
- можно выстроить план подготовки под конкретные цели и набрать высокие баллы.
Итог
Материалы для ОГЭ по математике 9 класса включают теоретический материал, справочные таблицы и основные формулы. Используя их вместе с практикой и помощью репетитора на образовательной платформе, подготовка к экзамену становится понятной и эффективной.
Обучение в Easyknow
🎓 Репетиторство easyknow
Хочешь разобраться в теме быстро и без скучных объяснений?
Занимайся с преподавателем easyknow — индивидуально, просто и по твоему темпу.
Записаться на пробный урок
💬 Кураторство easyknow
Нужна поддержка в учебе, но не хочешь сразу на урок?
Подключи куратора easyknow — он поможет с задачами и объяснит непонятное прямо в мессенджере.
Получить помощь куратора
Хочешь разобраться в теме быстро и без скучных объяснений?
Занимайся с преподавателем easyknow — индивидуально, просто и по твоему темпу.
Записаться на пробный урок
💬 Кураторство easyknow
Нужна поддержка в учебе, но не хочешь сразу на урок?
Подключи куратора easyknow — он поможет с задачами и объяснит непонятное прямо в мессенджере.
Получить помощь куратора