Задание №6 профильной математики проверяет умение решать простые и средние по уровню сложности уравнения: показательные, степени, логарифмы или их комбинации. Вариант всегда содержит одно уравнение, требующее точного или десятичного ответа. Несмотря на простоту формата, большинство ошибок связано с невнимательностью, нарушением ОДЗ или некорректным применением свойств степеней и логарифмов.
Ниже рассмотрены основные типы уравнений, встречающиеся в этом номере, и примеры условий, полностью соответствующие реальному формату задания.
Ниже рассмотрены основные типы уравнений, встречающиеся в этом номере, и примеры условий, полностью соответствующие реальному формату задания.
1. Какие уравнения встречаются в 6 задании ЕГЭ
Сюда входят четыре большие группы:
1) Показательные уравнения
Встречаются в форме:
уравнения, сводимые к равенству степеней одной базы.
Пример условия:
6. Решите уравнение:
2) Степенные уравнения
Формы:
- уравнения, где степень легко выделяется.
Пример условия:
6. Решите уравнение:
3) Логарифмические уравнения
Типичные конструкции:
Пример условия:
6. Решите уравнение:
4) Комбинированные уравнения
Смешивают степени и логарифмы либо разные виды степеней.
Пример условия:
6. Решите уравнение:
2. Алгоритм решения 6 задания
Эта схема работает для любого вида уравнений.
Шаг 1. Определите ОДЗ
Особенно важно для логарифмов и дробных степеней:
- под логарифмом выражение должно быть > 0;
- основание логарифма > 0 и ≠ 1;
- при корнях чётной степени основание ≥ 0.
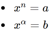
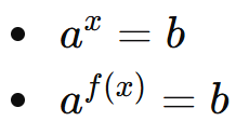
Шаг 2. Приведите уравнение к базовому виду
Используйте:
свойства степени:
свойства логарифмов:
замену переменной, если выражение громоздко.
Шаг 3. Найдите корень
Сведите задачу к простому линейному уравнению.
Шаг 4. Проверьте корень по ОДЗ
Если корень не удовлетворяет ограничениям, он не засчитывается.
3. Подробный разбор четырёх типовых условий
Каждый пример ниже соответствует реальному формату задания 6.
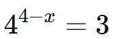
Пример 1. Показательное уравнение
Условие:
Решение
Тогда:
Ответ: 4
Пример 2. Степенное уравнение
Условие:
Выполняем логарифмирование:
Число
— это
Записывать десятичную дробь допускается.
Ответ:
(Если в варианте требовалась десятичная запись — округляем согласно инструкции.)
Пример 3. Логарифмическое уравнение
Условие:
Решение
По определению логарифма:
Проверка ОДЗ
Корень подходит.
Ответ: 93
Пример 4. Комбинированное уравнение
Условие:
Перепишем:
Два разных положительных основания не могут давать одинаковую степень, кроме случая, когда показатель равен нулю:
Ответ: 0
Занятия с опытными репетиторами по математике на удобной онлайн платформе Easyknow!
4. Типичные ошибки в задании 6
❌ Ошибка 1: отсутствие проверки ОДЗ
Ученики часто получают корень, подставляют — и выражение под логарифмом оказывается отрицательным.
❌ Ошибка 2: неверное сравнение степеней
Например,
пытаются делить или логарифмировать, хотя достаточно понять, что равенство возможно лишь при x = 0.
❌ Ошибка 3: неправильная работа с логарифмами
Особенно частая: применение логарифма с недопустимым основанием (≤ 0 или = 1).
❌ Ошибка 4: попытка упростить выражение «на глаз»
Многие пытаются упростить логарифмические уравнения, не применяя базовые формулы — из-за этого путаница в преобразованиях.
5. Шпаргалка по решению 6 задания
✔ Показательные уравнения
Приводим к одному основанию → сравниваем показатели.
✔ Логарифмы
- проверяем ОДЗ: подлогарифмическое > 0;
- используем формулу:
✔ Степенные
- учитываем знак основания;
- осторожно работаем с дробными степенями.
✔ Смешанные
- сводим к одной функции (либо логарифмируем, либо переводим к степени).
Итог easyknow
Задание 6 — одно из самых прогнозируемых в профильной математике. Оно требует:
- умения работать со степенями, корнями и логарифмами;
- точности в преобразованиях;
- обязательной проверки ОДЗ;
- минимизации лишних действий.
🎓 Репетиторство easyknow
Хочешь разобраться в теме быстро и без скучных объяснений?
Занимайся с преподавателем easyknow — индивидуально, просто и по твоему темпу.
Записаться на пробный урок
💬 Кураторство easyknow
Нужна поддержка в учебе, но не хочешь сразу на урок?
Подключи куратора easyknow — он поможет с задачами и объяснит непонятное прямо в мессенджере.
Получить помощь куратора
Хочешь разобраться в теме быстро и без скучных объяснений?
Занимайся с преподавателем easyknow — индивидуально, просто и по твоему темпу.
Записаться на пробный урок
💬 Кураторство easyknow
Нужна поддержка в учебе, но не хочешь сразу на урок?
Подключи куратора easyknow — он поможет с задачами и объяснит непонятное прямо в мессенджере.
Получить помощь куратора