Подготовка к экзамену по химии невозможна без уверенного знания основных формул. Именно они помогают решать задачи и получать высокие баллы. Многие выпускники тратят время на зубрёжку, но куда эффективнее — систематизировать формулы и регулярно применять их на практике.
Основные формулы для ЕГЭ по химии
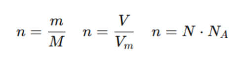
Количество вещества
где:
Массовая доля элемента
- m — масса вещества,
- M — молярная масса,
- V — объём газа,
- Vm — молярный объём (22,4 л/моль),
- N — число частиц,
- NA — число Авогадро.
Массовая доля элемента
Закон Авогадро
Равные объёмы газов при одинаковых условиях содержат одинаковое количество молекул.
Закон сохранения массы
Равные объёмы газов при одинаковых условиях содержат одинаковое количество молекул.
Закон сохранения массы
Закон объемных отношений (Гей-Люссака)
Отношение объёмов газов, вступающих в реакцию, выражается простыми целыми числами.
Формулы растворов
Отношение объёмов газов, вступающих в реакцию, выражается простыми целыми числами.
Формулы растворов
- Массовая доля вещества в растворе:
- Масса раствора:
Электролиз (закон Фарадея)
где:
- I — сила тока,
- t — время,
- F — число Фарадея.
Как запоминать формулы?
- Использовать шпаргалки и таблицы.
- Решать задачи из сборников ЕГЭ.
- Делать упор не только на запоминание, но и на понимание.
Подготовка на образовательной платформе
В онлайн школе easyknow:
- собраны все формулы по химии для решения задач ЕГЭ в одном месте;
- объясняем применение формул простыми словами;
- тренируем решение задач по шагам;
- занятия с репетитором помогают структурировать подготовку и выйти на высокие баллы.
Итог
Знание и правильное применение формул по химии для решения ЕГЭ — это фундамент успешной сдачи экзамена. С образовательной платформой и репетитором подготовка становится проще и эффективнее, а экзамен перестаёт казаться непреодолимым.
Обучение в Easyknow
🎓 Репетиторство easyknow
Хочешь разобраться в теме быстро и без скучных объяснений?
Занимайся с преподавателем easyknow — индивидуально, просто и по твоему темпу.
Записаться на пробный урок
💬 Кураторство easyknow
Нужна поддержка в учебе, но не хочешь сразу на урок?
Подключи куратора easyknow — он поможет с задачами и объяснит непонятное прямо в мессенджере.
Получить помощь куратора
Хочешь разобраться в теме быстро и без скучных объяснений?
Занимайся с преподавателем easyknow — индивидуально, просто и по твоему темпу.
Записаться на пробный урок
💬 Кураторство easyknow
Нужна поддержка в учебе, но не хочешь сразу на урок?
Подключи куратора easyknow — он поможет с задачами и объяснит непонятное прямо в мессенджере.
Получить помощь куратора