Пятое задание в ЕГЭ по физике — это особый тип задач.
Это не расчётная задача и не теория в чистом виде.
Это физическая ситуация + набор утверждений, среди которых нужно выбрать только верные.
Обычно это короткие сюжеты из реальной жизни, а проверяют они одно: насколько ты понимаешь физический смысл происходящего.
Это не расчётная задача и не теория в чистом виде.
Это физическая ситуация + набор утверждений, среди которых нужно выбрать только верные.
Обычно это короткие сюжеты из реальной жизни, а проверяют они одно: насколько ты понимаешь физический смысл происходящего.
🧠 Какие темы чаще всего встречаются в 5 номере?
Вот полный список того, что может “прилететь” в этом номере:
1. Движение по окружности / криволинейное движение
- центр стремительное ускорение
- силы в верхней и нижней точках траектории
- реакция опоры (больше или меньше mg?)
- “эффект невесомости”
2. Силы в механике
- сравнение силы тяжести, силы трения, упругости
- направления сил
- результирующая сила в разных ситуациях
3. Статика и равновесие
- моменты сил
- условия равновесия
- “перевесит ли?”
- куда падает система
4. Давление, давление газа, гидростатика
- изменение давления с глубиной
- действия силы на стенку сосуда
- работа насосов
5. Колебания и волны (редко)
- точка максимального ускорения
- сила в крайних точках колебаний
6. Простая термодинамика
- направление теплопередачи
- изменение внутренней энергии
- изобарный/изохорный процессы
✨ Главное про 5 задание:
Это задание НЕ на “подставить формулу”, а на:
понимание + логика + физическое мышление.
Если ты понимаешь, что происходит — решишь его за 30 секунд.
Если нет — оно кажется “ловушкой”.
Теперь — разбор 5 задания
Условие:
Грузовик массой 10 т проезжает верхнюю точку выпуклого моста, радиус кривизны которого равен 80 м, двигаясь равномерно со скоростью 72 км/ч.
Из приведённого ниже списка выберите все верные утверждения, характеризующие движение грузовика.
Варианты ответа:
1) Сила, с которой мост действует на грузовик, меньше 40 кН и направлена вертикально вверх.
2) Сумма сил, действующих на грузовик, направлена вертикально вверх и перпендикулярна его скорости.
3) Сила, с которой грузовик действует на мост, направлена вертикально вниз и равна 50 кН.
4) Сила тяжести, действующая на грузовик, равна 10 кН.
5) Центростремительное ускорение грузовика равно 5 м/с2.
Сюжет простой и очень типичный для экзамена: грузовик едет по выпуклому мосту.
Нужно выяснить:
- какова сила реакции опоры,
- куда направлена суммарная сила,
- какое центр стремительное ускорение,
- что верно из списка утверждений.
🧮 1. Переводим данные
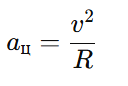
🧲 2. Центростремительное ускорение
Формула всегда одна:
Подставляем:
Ускорение направлено вниз — к центру кривизны.
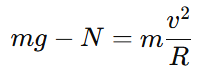
⚖ 3. Силы в верхней точке моста
Вот что действует:
- сила тяжести mg — вниз
- реакция опоры N — вверх
Но так как движение по дуге, результирующая сила должна быть направлена вниз, то есть:
Находим N:
📘 4. Проверяем утверждения
1. “Сила меньше 40 кН”
Но мы нашли 50 кН.
❌ Неверно.
2. “Сумма сил направлена вверх”
Нет, ускорение вниз → и результирующая сила вниз:
❌ Неверно.
3. “Грузовик действует на мост силой 50 кН вниз”
Точно так!
По 3 закону Ньютона:
✔ Верно.
4. “Сила тяжести 10 кН”
Мы нашли:
❌ Неверно.
5. “Центростремительное ускорение 5 м/с²”
✔ Верно.
🎯 Итог ответа:
3, 5
🧠 Мини-алгоритм easyknow для всех задач №5
Чтобы решать любые варианты, запомни:
✔ Шаг 1. Нарисуй силы
(не в уме, а реально схематично)
✔ Шаг 2. Определи направление ускорения
- верх “горки” → вниз
- низ “впадины” → вверх
✔ Шаг 3. Запиши второй закон Ньютона только по радиусу
✔ Шаг 4. Проверь утверждения
Сравни с тем, что ты получил.
🎓 Репетиторство easyknow
Хочешь разобраться в теме быстро и без скучных объяснений?
Занимайся с преподавателем easyknow — индивидуально, просто и по твоему темпу.
Записаться на пробный урок
💬 Кураторство easyknow
Нужна поддержка в учебе, но не хочешь сразу на урок?
Подключи куратора easyknow — он поможет с задачами и объяснит непонятное прямо в мессенджере.
Получить помощь куратора
Хочешь разобраться в теме быстро и без скучных объяснений?
Занимайся с преподавателем easyknow — индивидуально, просто и по твоему темпу.
Записаться на пробный урок
💬 Кураторство easyknow
Нужна поддержка в учебе, но не хочешь сразу на урок?
Подключи куратора easyknow — он поможет с задачами и объяснит непонятное прямо в мессенджере.
Получить помощь куратора