Линейные уравнения — одна из базовых тем школьной математики.
Зная, как их решать, можно уверенно двигаться дальше — к системам уравнений, функциям и задачам с параметрами.
Разберём, что такое линейное уравнение, как его решать, какие бывают ошибки и зачем это нужно на практике.
Зная, как их решать, можно уверенно двигаться дальше — к системам уравнений, функциям и задачам с параметрами.
Разберём, что такое линейное уравнение, как его решать, какие бывают ошибки и зачем это нужно на практике.
📘 Что такое линейное уравнение
Линейное уравнение — это уравнение, в котором переменная (обычно xxx) стоит в первой степени, а не возводится в квадрат или куб.
Общий вид:
где a и b— числа (коэффициенты), а x — неизвестное.
📗 Пример:
Это линейное уравнение, потому что переменная x имеет степень 1.
🔹 Как решить линейное уравнение
Чтобы найти xxx, нужно изолировать переменную. Делается это в несколько шагов:
1️⃣ Перенести все члены с x в одну сторону, а числа — в другую.
2️⃣ Привести подобные слагаемые.
3️⃣ Разделить обе части уравнения на коэффициент при x.
📘 Пример 1
Решим уравнение:
Шаг 1. Переносим «−6» вправо:
Шаг 2. Считаем:
Шаг 3. Делим обе части на 2:
✅ Ответ: x = 8.
🔸 Если уравнение с дробями
📘 Пример 2
Шаг 1. Переносим 4:
Шаг 2. Умножаем обе стороны на 3, чтобы избавиться от знаменателя:
✅ Ответ: x=9.
💡 Совет: при решении линейных уравнений с дробями всегда удобно умножить обе части на общий знаменатель.
💡 Совет: при решении линейных уравнений с дробями всегда удобно умножить обе части на общий знаменатель.
⚙️ Линейное уравнение с двумя переменными
Иногда встречаются уравнения вида
📘 Примеры:
Такое уравнение имеет бесконечное множество решений, потому что можно подобрать разные пары (x,y), которые его удовлетворяют.
📗 Пример:
📗 Пример:
Если x=2, то y=3;
если x=4, то y=1.
💬 Графически это — прямая линия на координатной плоскости.
если x=4, то y=1.
💬 Графически это — прямая линия на координатной плоскости.
🧠 Особые случаи
Иногда коэффициенты a и b дают особые ситуации:
💡 Если при решении переменная исчезла — обязательно проверь, осталась ли верная числовая равенство.
📋 Алгоритм решения линейных уравнений
1️⃣ Раскрой скобки (если есть).
2️⃣ Преобразуй дроби.
3️⃣ Перенеси неизвестные в одну сторону, числа — в другую.
4️⃣ Приведи подобные члены.
5️⃣ Раздели обе стороны на коэффициент при переменной.
6️⃣ Проверь подстановкой.
📘 Пример:
Раскрываем скобки: 5x−10 = 3x+4
Переносим: 5x−3x = 4+10
Получаем: 2x=14 ⇒ x=7
✅ Проверка: 5 (7−2) = 3 (7)+4→ 25 = 25 — верно!
📊 Применение линейных уравнений
Линейные уравнения — не просто учебная тема. Они встречаются в задачах на:
- движение (скорость × время = путь),
- работу (производительность × время = объём),
- стоимость (цена × количество = сумма),
- пропорции и проценты.
📗 Например:
Найдите цену товара, если три таких товара стоят 450 руб.
Пусть x — цена одного товара. Тогда 3x=450 ⇒ x=150.
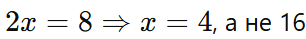
⚡ Ошибки, которых стоит избегать
Не меняют знак при переносе:
Делят неправильно:
Пропускают проверку.
📘 Итог
Линейные уравнения — это основа всей алгебры.
Главное — понять принцип:
«Изолируй переменную и найди её значение».
Зная алгоритм, можно уверенно решать любые задания — от простых до текстовых.
Тренируясь на примерах, вы научитесь видеть логику и быстро находить ответ.
🎓 Репетиторство easyknow
Хочешь разобраться в теме быстро и без скучных объяснений?
Занимайся с преподавателем easyknow — индивидуально, просто и по твоему темпу.
Записаться на пробный урок
💬 Кураторство easyknow
Нужна поддержка в учебе, но не хочешь сразу на урок?
Подключи куратора easyknow — он поможет с задачами и объяснит непонятное прямо в мессенджере.
Получить помощь куратора
Хочешь разобраться в теме быстро и без скучных объяснений?
Занимайся с преподавателем easyknow — индивидуально, просто и по твоему темпу.
Записаться на пробный урок
💬 Кураторство easyknow
Нужна поддержка в учебе, но не хочешь сразу на урок?
Подключи куратора easyknow — он поможет с задачами и объяснит непонятное прямо в мессенджере.
Получить помощь куратора