Электродинамика — раздел физики, изучающий электрические и магнитные поля, их взаимодействие с заряженными телами и электрическими токами.
В её основе лежат три фундаментальных закона, которые объясняют, как движутся электрические заряды и как возникают силы между ними.
Эти законы — основа для понимания всей электротехники, магнитных явлений и работы приборов.
В её основе лежат три фундаментальных закона, которые объясняют, как движутся электрические заряды и как возникают силы между ними.
Эти законы — основа для понимания всей электротехники, магнитных явлений и работы приборов.
⚡ 1-й закон электродинамики — закон Кулона
Закон Кулона описывает взаимодействие двух неподвижных электрических зарядов.
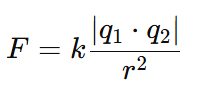
📘 Формулировка:
Сила взаимодействия между двумя точечными зарядами прямо пропорциональна произведению их зарядов и обратно пропорциональна квадрату расстояния между ними.
где:
- F — сила взаимодействия (Н),
- q1 и q2 — заряды (Кл),
- r — расстояние между ними (м),
- k — коэффициент пропорциональности.
📗 Примеры:
- Два положительных заряда отталкиваются,
- Разноимённые заряды притягиваются.
💡 Это закон аналогичен закону всемирного тяготения, только для электрических сил.
⚙️ 2-й закон электродинамики — закон Ома
Закон Ома описывает, как электрический ток зависит от напряжения и сопротивления.
📘 Формулировка:
Сила тока в участке цепи прямо пропорциональна напряжению на этом участке и обратно пропорциональна его сопротивлению.
где:
- I — сила тока (А),
- U — напряжение (В),
- R — сопротивление (Ом).
📗 Пример:
Если увеличить напряжение в два раза, а сопротивление оставить прежним — ток увеличится в два раза.
💬 Закон Ома лежит в основе расчёта электрических цепей и работы всех бытовых устройств.
🔋 Дополнение: Закон Ома для полной цепи
Если в цепи есть источник тока с внутренним сопротивлением rrr,
то общий закон записывается так:
Этот вариант используется при расчётах батареек, генераторов и замкнутых цепей.
🧲 3-й закон электродинамики — закон Ампера
Закон Ампера описывает взаимодействие между двумя токами или силу, действующую на проводник с током в магнитном поле.
📘 Формулировка:
На проводник с током, помещённый в магнитное поле, действует сила, направление которой зависит от направления тока и линий магнитного поля.
где:
- F — сила Ампера (Н),
- B — магнитная индукция (Тл),
- I — сила тока (А),
- L — длина проводника (м),
- α— угол между направлением тока и магнитным полем.
📗 Пример:
Если проводник с током поместить между полюсами магнита, он начнёт двигаться — это и есть проявление силы Ампера.
💡 Именно на этом принципе работают электродвигатели, генераторы и динамики.
🔹 Итоговая таблица: три основных закона электродинамики
🧠 Как связаны три закона
- Закон Кулона объясняет силы между зарядами.
- Закон Ома показывает, как эти заряды движутся (ток).
- Закон Ампера описывает, как ток взаимодействует с магнитным полем.
Вместе они создают основу электродинамики — раздела, на котором строится современная электроника, энергетика и связь.
🎓 Советы для подготовки
✅ Учите формулы и знаки физических величин — это основа для решения задач.
✅ Тренируйтесь на типовых заданиях ОГЭ и ЕГЭ с рисунками цепей и схем.
✅ Объясняйте законы своими словами — это помогает понять, а не просто запомнить.
✅ Используйте правило левой руки (для силы Ампера) и правило правой руки (для магнитного поля).
📘 Итог
Три основных закона электродинамики — это:
1️⃣ Закон Кулона — взаимодействие зарядов,
2️⃣ Закон Ома — связь тока, напряжения и сопротивления,
3️⃣ Закон Ампера — взаимодействие тока и магнитного поля.
Именно они объясняют, как возникает электричество, почему работают двигатели и как передаётся энергия.
Понимание этих трёх законов — ключ к успеху на экзамене и к осознанию того, как устроен наш электрический мир ⚡
🎓 Репетиторство easyknow
Хочешь разобраться в теме быстро и без скучных объяснений?
Занимайся с преподавателем easyknow — индивидуально, просто и по твоему темпу.
Записаться на пробный урок
💬 Кураторство easyknow
Нужна поддержка в учебе, но не хочешь сразу на урок?
Подключи куратора easyknow — он поможет с задачами и объяснит непонятное прямо в мессенджере.
Получить помощь куратора
Хочешь разобраться в теме быстро и без скучных объяснений?
Занимайся с преподавателем easyknow — индивидуально, просто и по твоему темпу.
Записаться на пробный урок
💬 Кураторство easyknow
Нужна поддержка в учебе, но не хочешь сразу на урок?
Подключи куратора easyknow — он поможет с задачами и объяснит непонятное прямо в мессенджере.
Получить помощь куратора