Все химические реакции можно разделить на несколько основных типов.
Это помогает быстро определять, что происходит в уравнении и как предсказать продукты реакции.
📘 В неорганической химии выделяют 4 основных типа химических реакций:
1️⃣ соединение,
2️⃣ разложение,
3️⃣ замещение,
4️⃣ обмен.
Это помогает быстро определять, что происходит в уравнении и как предсказать продукты реакции.
📘 В неорганической химии выделяют 4 основных типа химических реакций:
1️⃣ соединение,
2️⃣ разложение,
3️⃣ замещение,
4️⃣ обмен.
🔹 1. Реакции соединения (синтеза)
📘 Определение:
Две или несколько простых или сложных веществ соединяются в одно более сложное.
Две или несколько простых или сложных веществ соединяются в одно более сложное.
📗 Примеры:
💡 Происходит увеличение числа атомов в молекуле — образуется новое соединение.
🔸 2. Реакции разложения
📘 Определение:
Одно сложное вещество распадается на два или несколько простых или сложных.
Одно сложное вещество распадается на два или несколько простых или сложных.
📗 Примеры:
💡 Обычно происходят при нагревании, действии электричества или света.
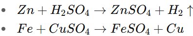
⚙️ 3. Реакции замещения
📘 Определение:
Более активный элемент вытесняет менее активный из соединения.
Более активный элемент вытесняет менее активный из соединения.
📗 Примеры:
💡 Чтобы реакция прошла, элемент А должен быть активнее В (определяется по ряду активности металлов).
🔁 4. Реакции обмена
📘 Определение:
Два сложных вещества обмениваются своими частями (ионами).
Два сложных вещества обмениваются своими частями (ионами).
📗 Примеры:
💡 Реакции обмена протекают, если:
- образуется осадок,
- выделяется газ,
- образуется вода.
🧠 Сводная таблица: типы химических реакций в неорганической химии
🔹 Дополнительные виды реакций
Иногда выделяют ещё несколько типов по характеру изменений:
🧩 Как определить тип реакции
1️⃣ Посмотри, увеличивается или уменьшается количество веществ.
2️⃣ Если одно вещество → несколько → разложение.
3️⃣ Если несколько веществ → одно → соединение.
4️⃣ Если есть обмен частями → обмен.
5️⃣ Если один элемент вытеснил другой → замещение.
💡 Для уверенности можно записать формулу общего вида и сравнить.
2️⃣ Если одно вещество → несколько → разложение.
3️⃣ Если несколько веществ → одно → соединение.
4️⃣ Если есть обмен частями → обмен.
5️⃣ Если один элемент вытеснил другой → замещение.
💡 Для уверенности можно записать формулу общего вида и сравнить.
🎓 Подготовка по химии в easyknow
В онлайн-школе easyknow:
- объясняем типы реакций в неорганической химии с примерами и анимациями;
- показываем, как определять тип реакции и составлять уравнения;
- занятия проходят онлайн с репетитором;
- образовательная платформа включает тесты, тренажёры и задания в формате ЕГЭ и ОГЭ;
- результат — уверенные знания и высокие баллы на экзамене.
🧪 Итог
Типы реакций в неорганической химии — это основа понимания химических процессов.
Зная 4 главных типа (соединение, разложение, замещение, обмен), можно определить любой процесс и правильно составить уравнение.
📘 Химия становится понятной, когда видишь в формулах логику — именно так мы учим в easyknow.
Зная 4 главных типа (соединение, разложение, замещение, обмен), можно определить любой процесс и правильно составить уравнение.
📘 Химия становится понятной, когда видишь в формулах логику — именно так мы учим в easyknow.
🎓 Репетиторство easyknow
Хочешь разобраться в теме быстро и без скучных объяснений?
Занимайся с преподавателем easyknow — индивидуально, просто и по твоему темпу.
Записаться на пробный урок
💬 Кураторство easyknow
Нужна поддержка в учебе, но не хочешь сразу на урок?
Подключи куратора easyknow — он поможет с задачами и объяснит непонятное прямо в мессенджере.
Получить помощь куратора
Хочешь разобраться в теме быстро и без скучных объяснений?
Занимайся с преподавателем easyknow — индивидуально, просто и по твоему темпу.
Записаться на пробный урок
💬 Кураторство easyknow
Нужна поддержка в учебе, но не хочешь сразу на урок?
Подключи куратора easyknow — он поможет с задачами и объяснит непонятное прямо в мессенджере.
Получить помощь куратора