Система счисления — это способ записи чисел с помощью определённого набора символов (цифр).
В информатике чаще всего используются:
Чтобы уверенно решать задачи на экзамене, нужно знать правила перевода чисел между системами счисления.
В информатике чаще всего используются:
- десятичная (основание 10),
- двоичная (основание 2),
- восьмеричная (основание 8),
- шестнадцатеричная (основание 16).
Чтобы уверенно решать задачи на экзамене, нужно знать правила перевода чисел между системами счисления.
🧮 Основные системы счисления
📘 Каждая система счисления имеет своё основание — количество цифр, которые в ней используются.
🔹 Перевод из десятичной системы в любую другую
Правило:
Чтобы перевести число из десятичной системы в другую, нужно последовательно делить его на основание новой системы и записывать остатки.
📘 Алгоритм:
1️⃣ Разделить число на основание системы.
2️⃣ Записать остаток.
3️⃣ Продолжать деление, пока результат не станет равен 0.
4️⃣ Остатки записываются в обратном порядке.
📗 Пример:
Перевести 25 в двоичную систему.
Чтобы перевести число из десятичной системы в другую, нужно последовательно делить его на основание новой системы и записывать остатки.
📘 Алгоритм:
1️⃣ Разделить число на основание системы.
2️⃣ Записать остаток.
3️⃣ Продолжать деление, пока результат не станет равен 0.
4️⃣ Остатки записываются в обратном порядке.
📗 Пример:
Перевести 25 в двоичную систему.
Читаем остатки снизу вверх → 11001₂
✅ Ответ: 25₁₀ = 11001₂
✅ Ответ: 25₁₀ = 11001₂
🔸 Перевод из двоичной (или другой) системы в десятичную
Правило:
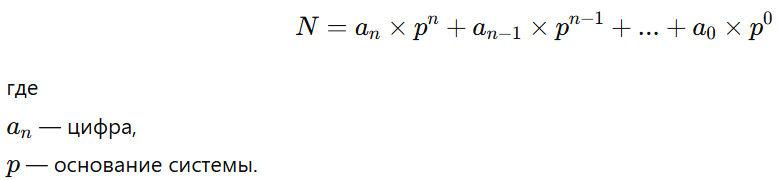
Каждая цифра умножается на основание системы, возведённое в степень, соответствующую её позиции.
📘 Формула:
Каждая цифра умножается на основание системы, возведённое в степень, соответствующую её позиции.
📘 Формула:
📗 Пример:
Перевести 11001₂ в десятичную систему.
Перевести 11001₂ в десятичную систему.
✅ Ответ: 11001₂ = 25₁₀
🔹 Перевод между недесятичными системами (например, двоичная ↔ шестнадцатеричная)
В таких случаях удобнее переводить через десятичную или использовать группировку цифр.
📘 Пример:
Перевести 11001111₂ в шестнадцатеричную систему.
1️⃣ Разделим число на группы по 4 бита справа налево:
1100 1111
2️⃣ Каждой группе соответствует цифра из шестнадцатеричной таблицы:
1100 = C, 1111 = F
✅ Ответ: 11001111₂ = CF₁₆
📘 Пример:
Перевести 11001111₂ в шестнадцатеричную систему.
1️⃣ Разделим число на группы по 4 бита справа налево:
1100 1111
2️⃣ Каждой группе соответствует цифра из шестнадцатеричной таблицы:
1100 = C, 1111 = F
✅ Ответ: 11001111₂ = CF₁₆
🧠 Таблица для перевода между системами счисления
💡 Чтобы перевести двоичное число в восьмеричное — группируйте по 3 бита, в шестнадцатеричное — по 4 бита.
⚙️ Правила перевода в системах счисления
🎓 На платформе easyknow
В онлайн-школе easyknow:
- разбираем перевод чисел в различные системы счисления на примерах из задач ОГЭ и ЕГЭ;
- используем интерактивные тренажёры;
- занятия проходят онлайн с репетитором;
- образовательная платформа помогает закрепить навыки через тесты и практику.
🧩 Итог
Перевод чисел между системами счисления — базовая тема информатики, без которой не обойтись на экзамене.
Главное — понять логику:
🔹 делим — чтобы перейти из 10 → в другую систему,
🔹 умножаем — чтобы перейти обратно.
📘 Освоив эти правила, вы сможете легко решать задачи любого уровня на ОГЭ и ЕГЭ.
Главное — понять логику:
🔹 делим — чтобы перейти из 10 → в другую систему,
🔹 умножаем — чтобы перейти обратно.
📘 Освоив эти правила, вы сможете легко решать задачи любого уровня на ОГЭ и ЕГЭ.
🎓 Репетиторство easyknow
Хочешь разобраться в теме быстро и без скучных объяснений?
Занимайся с преподавателем easyknow — индивидуально, просто и по твоему темпу.
Записаться на пробный урок
💬 Кураторство easyknow
Нужна поддержка в учебе, но не хочешь сразу на урок?
Подключи куратора easyknow — он поможет с задачами и объяснит непонятное прямо в мессенджере.
Получить помощь куратора
Хочешь разобраться в теме быстро и без скучных объяснений?
Занимайся с преподавателем easyknow — индивидуально, просто и по твоему темпу.
Записаться на пробный урок
💬 Кураторство easyknow
Нужна поддержка в учебе, но не хочешь сразу на урок?
Подключи куратора easyknow — он поможет с задачами и объяснит непонятное прямо в мессенджере.
Получить помощь куратора